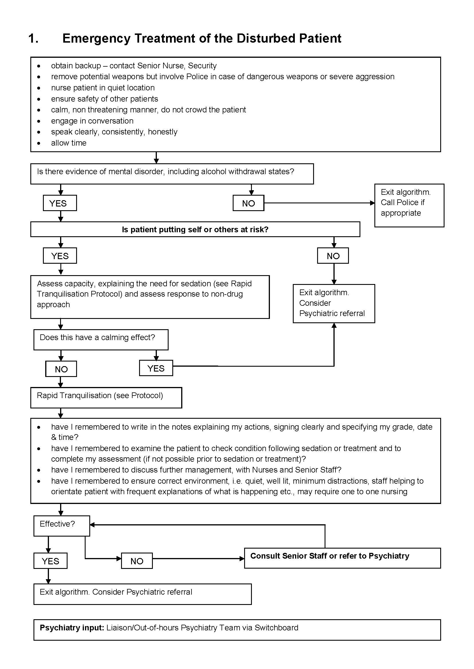
Emergency Treatment of the Disturbed Patient

Warning

Editorial Information

Last reviewed: 31/12/2019

Next review date: 31/12/2021

Author(s): Calvert L.

Version: v3

Author email(s): lucy.calvert@borders.scot.nhs.uk.

Reviewer name(s): Calvert L.

Related guidelines