Acute Coronary Syndrome (ACS) (Guidelines)

Warning

Scope

  • North NHS Highland
  • Primary and Secondary Care
  • Adults only

Audience

  • Highland HSCP
  • Primary and Secondary Care.
  • Emergency Department Acute Coronary Syndrome (ACS) Management Pathway - click here.
  • This is the combined pathway for both Raigmore and Rural use.

 

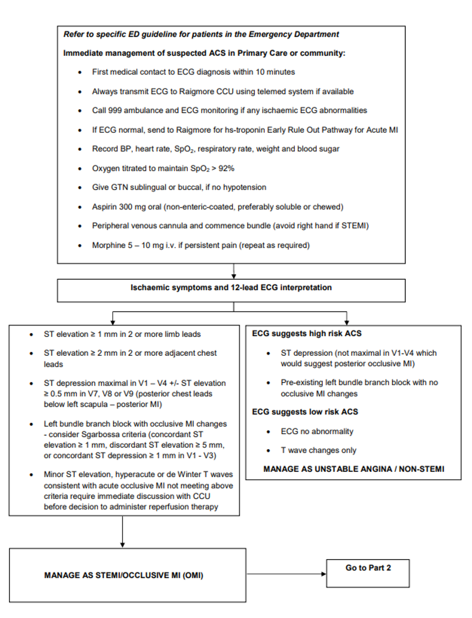
Part 1 Acute coronary syndrome

 

Part 2 Acute coronary syndrome

 

Criteria for thrombolysis

Criteria for thrombolysis form (NHS Highland intranet access required). 

Thrombolysis administration

Drug administration for tenecteplase thrombolysis  Age under 75 years  Age 75 years or older 
Step 1 Aspirin 300mg oral (ideally soluble or chewed), if not already given  Aspirin 300mg oral (ideally soluble or chewed), if not already given 
Step 2 Tenecteplase (TNK) full dose 0.5mg per kg IV (see below) Tenecteplase (TNK) half dose 0.25mg per kg IV (see below)
Step 3 Unfractionated heparin (UFH) 4000 units IV bolus  No UFH bolus 
Step 4 Clopidogrel 300mg oral Clopidogrel 75mg oral 
Step 5  Enoxaparin 1mg/kg bd s.c. (max 100mg per injection for the first two doses)  Enoxaparin 0.75mg/kg bd s.c. (max 75mg per injection for the first two doses) 

Special considerations:

  • If enoxaparin is unavailable and long or delayed transfer, consider UFH 1000 unit i.v. bolus after 2 hours
  • If eGFR <30, regardless of age, the enoxaparin s.c. doses are given once daily
  • If eGFR <15, enoxaparin is not recommended, UFH IV infusion is preferred with aPTT monitoring
  • If patient is taking warfarin, check INR immediately and omit UFH/enoxaparin until INR <2
  • If patient is taking DOAC (e.g. edoxaban), omit UFH/enoxaparin until >12hours since last DOAC dose
  • If fondaparinux has already been given, administer UFH IV bolus if age <75yrs, omit enoxaparin for 24 hours
  • If tenecteplase is unavailable, it can be substituted by alteplase (requires infusion pump, no half-dosing)

Tenecteplase (TNK) dosing regimen

 

Age < 75 yrs

Age ≥ 75 yrs

Weight (kg)

TNK (units)

TNK (mg)

Vol (ml)

TNK (units)

TNK (mg)

Vol (ml)

< 60

6,000

30

6

3,000

15

3

60 - < 70

7,000

35

7

3,500

17.5

3.5

70 - < 80

8,000

40

8

4,000

20

4

80 - < 90

9,000

45

9

4,500

22.5

4.5

≥ 90

10,000

50

10

5,000

25

5

Unfractionated heparin IV infusion (only if eGFR < 15)
Following IV UFH bolus, start IV UFH infusion of 12 units per kg, up to a maximum of 1,000 units/h for 24 to 48 hours.
Target aPTT: 50 to 70s, or 1.5 to 2.0 times control at 3, 6, 12 and 24h

Early rule out pathway for Acute MI

Troponin-ACS refresher

 

 

Abbreviations

Abbreviation Meaning
GTN Glyceryl trinitrate 
ECG Electrocardiogram
CCU Coronary care unit
STEMI ST-Elevation Myocardial Infarction
AV Atrioventricular block
SBP Systolic blood pressure
DBP Diastolic blood pressure
LBBB Left bundle branch block
eGFR Estimated glomerular filtration rate
DOAC Direct oral anticoagulants
UFH Unfractionated heparin
aPTT Activated partial thromboplastin time
PCI Percutaneous Coronary Intervention 

Editorial Information

Last reviewed: 20/01/2025

Next review date: 20/01/2028

Author(s): Cardiology .

Version: 10

Approved By: TAM subgroup of the ADTC

Reviewer name(s): Dr J Watt, Consultant Cardiologist .

Document Id: TAM135

Related resources

Further information for Health Care Professionals

(Scroll down to see all references)

References

Further information for Patients

Self-management information