Chronic Leg Oedema Referral Pathway (Guidelines)

Warning

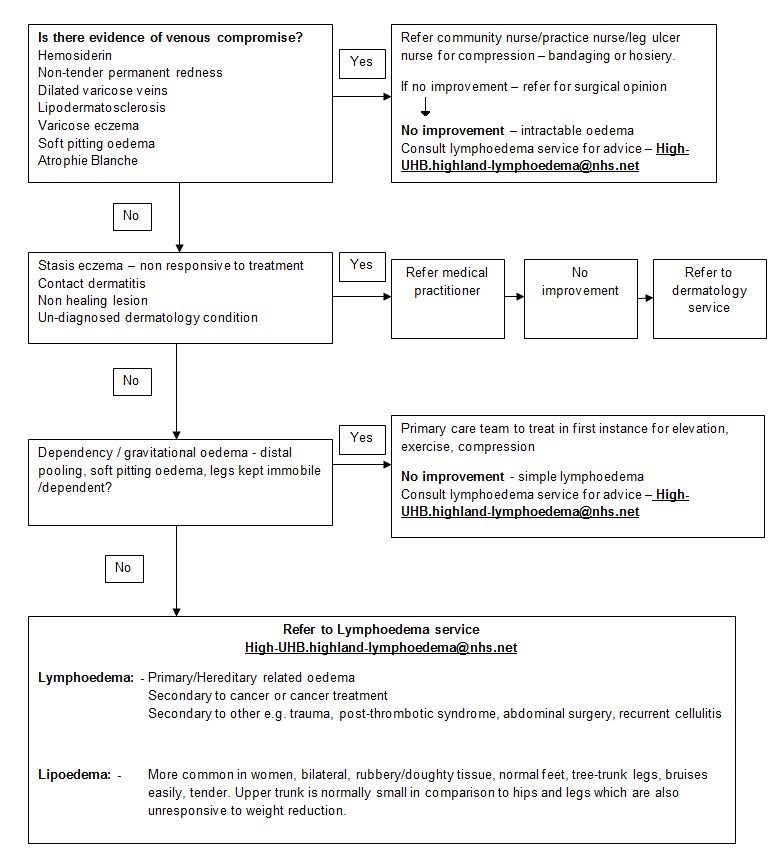
Part 1 Chronic Leg Oedema Referral Pathway

Is there evidence of venous compromise?

Editorial Information

Last reviewed: 19/06/2023

Next review date: 30/06/2026

Author(s): Tissue Viability (Highland Lymphoedema Service).

Version: 1

Approved By: TAM subgroup of the ADTC

Reviewer name(s): G Tomalin, Advanced Nurse Lymphoedema.

Document Id: TAM226